Examples#
This is the gallery of examples that showcase how scikit-learn can be used. Some examples demonstrate the use of the API in general and some demonstrate specific applications in tutorial form. Also check out our user guide for more detailed illustrations.
Release Highlights#
These examples illustrate the main features of the releases of scikit-learn.
Biclustering#
Examples concerning biclustering techniques.

Biclustering documents with the Spectral Co-clustering algorithm
Calibration#
Examples illustrating the calibration of predicted probabilities of classifiers.

Probability Calibration for 3-class classification
Classification#
General examples about classification algorithms.

Linear and Quadratic Discriminant Analysis with covariance ellipsoid

Normal, Ledoit-Wolf and OAS Linear Discriminant Analysis for classification
Clustering#
Examples concerning the sklearn.cluster
module.

A demo of K-Means clustering on the handwritten digits data

A demo of structured Ward hierarchical clustering on an image of coins

Adjustment for chance in clustering performance evaluation

Agglomerative clustering with and without structure

Bisecting K-Means and Regular K-Means Performance Comparison

Comparing different clustering algorithms on toy datasets

Comparing different hierarchical linkage methods on toy datasets

Comparison of the K-Means and MiniBatchKMeans clustering algorithms

Empirical evaluation of the impact of k-means initialization

Hierarchical clustering: structured vs unstructured ward

Selecting the number of clusters with silhouette analysis on KMeans clustering

Various Agglomerative Clustering on a 2D embedding of digits
Covariance estimation#
Examples concerning the sklearn.covariance
module.

Robust covariance estimation and Mahalanobis distances relevance

Shrinkage covariance estimation: LedoitWolf vs OAS and max-likelihood
Cross decomposition#
Examples concerning the sklearn.cross_decomposition
module.

Principal Component Regression vs Partial Least Squares Regression
Dataset examples#
Examples concerning the sklearn.datasets
module.
Decision Trees#
Examples concerning the sklearn.tree
module.

Plot the decision surface of decision trees trained on the iris dataset

Post pruning decision trees with cost complexity pruning
Decomposition#
Examples concerning the sklearn.decomposition
module.

Comparison of LDA and PCA 2D projection of Iris dataset

Factor Analysis (with rotation) to visualize patterns

Model selection with Probabilistic PCA and Factor Analysis (FA)

Principal Component Analysis (PCA) on Iris Dataset
Developing Estimators#
Examples concerning the development of Custom Estimator.
Ensemble methods#
Examples concerning the sklearn.ensemble
module.

Comparing Random Forests and Histogram Gradient Boosting models

Comparing random forests and the multi-output meta estimator

Hashing feature transformation using Totally Random Trees

Plot class probabilities calculated by the VotingClassifier

Plot the decision boundaries of a VotingClassifier

Plot the decision surfaces of ensembles of trees on the iris dataset

Prediction Intervals for Gradient Boosting Regression

Single estimator versus bagging: bias-variance decomposition
Examples based on real world datasets#
Applications to real world problems with some medium sized datasets or interactive user interface.

Compressive sensing: tomography reconstruction with L1 prior (Lasso)

Faces recognition example using eigenfaces and SVMs

Topic extraction with Non-negative Matrix Factorization and Latent Dirichlet Allocation
Feature Selection#
Examples concerning the sklearn.feature_selection
module.

Recursive feature elimination with cross-validation
Frozen Estimators#
Examples concerning the sklearn.frozen
module.
Gaussian Mixture Models#
Examples concerning the sklearn.mixture
module.

Concentration Prior Type Analysis of Variation Bayesian Gaussian Mixture
Gaussian Process for Machine Learning#
Examples concerning the sklearn.gaussian_process
module.

Ability of Gaussian process regression (GPR) to estimate data noise-level

Comparison of kernel ridge and Gaussian process regression

Forecasting of CO2 level on Mona Loa dataset using Gaussian process regression (GPR)

Gaussian Processes regression: basic introductory example

Gaussian process classification (GPC) on iris dataset

Illustration of Gaussian process classification (GPC) on the XOR dataset

Illustration of prior and posterior Gaussian process for different kernels

Iso-probability lines for Gaussian Processes classification (GPC)

Probabilistic predictions with Gaussian process classification (GPC)
Generalized Linear Models#
Examples concerning the sklearn.linear_model
module.

Decision Boundaries of Multinomial and One-vs-Rest Logistic Regression

Fitting an Elastic Net with a precomputed Gram Matrix and Weighted Samples

HuberRegressor vs Ridge on dataset with strong outliers

MNIST classification using multinomial logistic + L1

Multiclass sparse logistic regression on 20newgroups

One-Class SVM versus One-Class SVM using Stochastic Gradient Descent

Ordinary Least Squares and Ridge Regression Variance

Plot Ridge coefficients as a function of the regularization

Ridge coefficients as a function of the L2 Regularization
Inspection#
Examples related to the sklearn.inspection
module.

Common pitfalls in the interpretation of coefficients of linear models

Failure of Machine Learning to infer causal effects

Partial Dependence and Individual Conditional Expectation Plots

Permutation Importance vs Random Forest Feature Importance (MDI)

Permutation Importance with Multicollinear or Correlated Features
Kernel Approximation#
Examples concerning the sklearn.kernel_approximation
module.

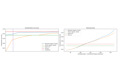
Scalable learning with polynomial kernel approximation
Manifold learning#
Examples concerning the sklearn.manifold
module.

Manifold learning on handwritten digits: Locally Linear Embedding, Isomap…

t-SNE: The effect of various perplexity values on the shape
Miscellaneous#
Miscellaneous and introductory examples for scikit-learn.

Comparing anomaly detection algorithms for outlier detection on toy datasets

Explicit feature map approximation for RBF kernels

The Johnson-Lindenstrauss bound for embedding with random projections
Missing Value Imputation#
Examples concerning the sklearn.impute
module.

Imputing missing values before building an estimator

Imputing missing values with variants of IterativeImputer
Model Selection#
Examples related to the sklearn.model_selection
module.

Balance model complexity and cross-validated score

Class Likelihood Ratios to measure classification performance

Comparing randomized search and grid search for hyperparameter estimation

Comparison between grid search and successive halving

Custom refit strategy of a grid search with cross-validation

Demonstration of multi-metric evaluation on cross_val_score and GridSearchCV

Effect of model regularization on training and test error

Multiclass Receiver Operating Characteristic (ROC)

Plotting Learning Curves and Checking Models’ Scalability

Post-hoc tuning the cut-off point of decision function

Post-tuning the decision threshold for cost-sensitive learning

Receiver Operating Characteristic (ROC) with cross validation

Sample pipeline for text feature extraction and evaluation

Statistical comparison of models using grid search

Test with permutations the significance of a classification score

Visualizing cross-validation behavior in scikit-learn
Multiclass methods#
Examples concerning the sklearn.multiclass
module.
Multioutput methods#
Examples concerning the sklearn.multioutput
module.

Multilabel classification using a classifier chain
Nearest Neighbors#
Examples concerning the sklearn.neighbors
module.

Comparing Nearest Neighbors with and without Neighborhood Components Analysis

Dimensionality Reduction with Neighborhood Components Analysis
Neural Networks#
Examples concerning the sklearn.neural_network
module.

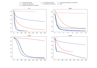
Compare Stochastic learning strategies for MLPClassifier

Restricted Boltzmann Machine features for digit classification
Pipelines and composite estimators#
Examples of how to compose transformers and pipelines from other estimators. See the User Guide.

Column Transformer with Heterogeneous Data Sources

Effect of transforming the targets in regression model

Pipelining: chaining a PCA and a logistic regression

Selecting dimensionality reduction with Pipeline and GridSearchCV
Preprocessing#
Examples concerning the sklearn.preprocessing
module.

Compare the effect of different scalers on data with outliers

Demonstrating the different strategies of KBinsDiscretizer

Using KBinsDiscretizer to discretize continuous features
Semi Supervised Classification#
Examples concerning the sklearn.semi_supervised
module.

Decision boundary of semi-supervised classifiers versus SVM on the Iris dataset

Label Propagation digits: Demonstrating performance
Support Vector Machines#
Examples concerning the sklearn.svm
module.

Plot classification boundaries with different SVM Kernels

Plot different SVM classifiers in the iris dataset

Support Vector Regression (SVR) using linear and non-linear kernels
Working with text documents#
Examples concerning the sklearn.feature_extraction.text
module.

Classification of text documents using sparse features